无码流出
无码流出
无码流出概况
本科生教育
研究生教育
学科科研
学生活动
招生就业
国际合作
党建工作
校友之家
教工之家
无码流出简介
领导班子
机构设置
师资队伍
学院文化
无码流出 相关专业创建于1988年,是国内设计学类专业齐全、教学规模大、知名度较高的艺术设计学院之一。学院拥有设计硕士专业学位点、机械硕士专业学位点(工...
更多>>
机构设置
专业设置
教学管理
教务管理
实验中心
教学文件
下载专区
本科评估专栏
无码流出 毕业设计资料整理规范
关于无码流出 做好毕业设计相...
关于举办第十三届全国大学生数字媒体科...
更多>>
招生动态
学位点介绍
导师介绍
无码流出 2025年...
无码流出 2025年...
无码流出 2025年...
更多>>
重点学科
研究方向
科研动态
学科竞赛
设计学是我校艺术门类下的主体学科,创建于1988年,2002年列为浙江省重点扶植学科,2005年被评为浙江省第五批重点学科,2012年被评为浙江省十二五重点学科,2007年艺术设计专业获浙江省重点建设专业,2009年获教育部国家特色专业建设点,2012年被评为省优势专业,服装设计专业和工业设计专业分别入选省新兴特色专业,2016年服装与服饰设计入选省优势专业。设计学...
更多>>
学生工作
更多>>
分团委学生会
更多>>
社团联合会
更多>>
招生
欢迎您报考无码流出 !
更多>>
就业
提供全面快速的就业信息。
更多>>
合作项目
资讯动态
交流活动
表格下载
艺术学院留学沙龙顺利举办——“留学那...
转发:关于保荐优秀本科毕业生赴澳门科...
2020年艺术学院中德“2+3”项目学生选拔...
更多>>
组织机构
政策文件
学习园地
党建动态
先锋模范
主题教育
党史天天学
校友陈建国捐赠400万元设立“建国育才基...
梁荣华副校长新学期走访艺术学院
博洛尼亚美术学院卡特琳娜·科鲁乔教授一...
更多>>
//wmout.net/jgzj/ghtz.htm
工会通知
工会活动
妇联(妇女联合会)
活动掠影
关于举办艺术学院教职工乒乓球挑战赛的通知
关于举办“三八节”活动的通知
关于学院第九届教职工代表大会暨第十一...
更多>>
您所在的位置:
无码流出
>
研究生教育
>
招生动态
> 正文
研究生教育
招生动态
学位点介绍
导师介绍
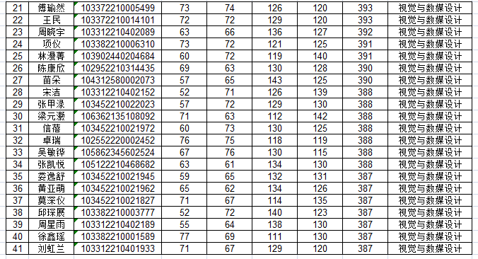
浙江科技学院无码流出 2022年硕士研究生招生复试名单(调剂第一批)
作者: 来源: 日期:2022-04-07 08:38:07 人气:
上一篇:
浙江科技学院艺术设计学院2022年硕士研究生拟录取名单公示(调剂第一批)
下一篇:
浙江科技学院无码流出 2022年研究生调剂公告